RSS
-
NÁPOVĚDA
-
ODKAZY
-
ALTERNATIVNÍ VYHLEDÁVÁNÍ
-
ENGLISH
KRAMERIUS
-
PERIODIKA
(796/5736010) -
V
(84/241169) -
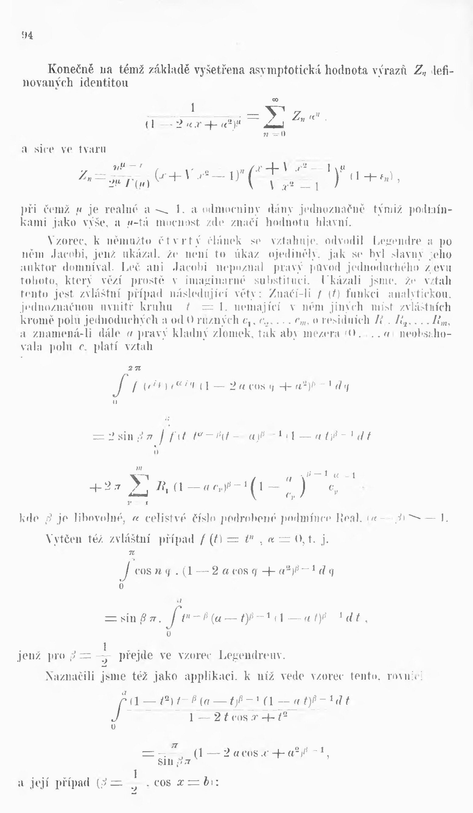
Věstník České akademie císaře Františka Josefa pro vědy, slovesnost a umění
(1/15400)
Typy dokumentů
Abeceda
Výběr titulu
Titul
Ročník
Výtisk
Stránka
/28
PDF
Vytvořit
rozsah stran: (max. 20)
-
hledat na aktuální stránce
Pokročilé vyhledávání
©2003-2010
Developed
under GNU GPL by
Qbizm
,
NKČR
and
KNAV
*
Datum vydání ročníku:
1892
Číslo ročníku:
1
*
Datum vydání výtisku:
1.1892
Číslo výtisku:
4
*
Číslo stránky:
94
* URI:
http://kramerius.nkp.cz/kramerius/handle/ABA001/32840339
Soubor ke stažení ve formátu djvu