System Kramerius
Typy dokumentů
Abeceda
Výběr titulu
Titul
Ročník
Výtisk
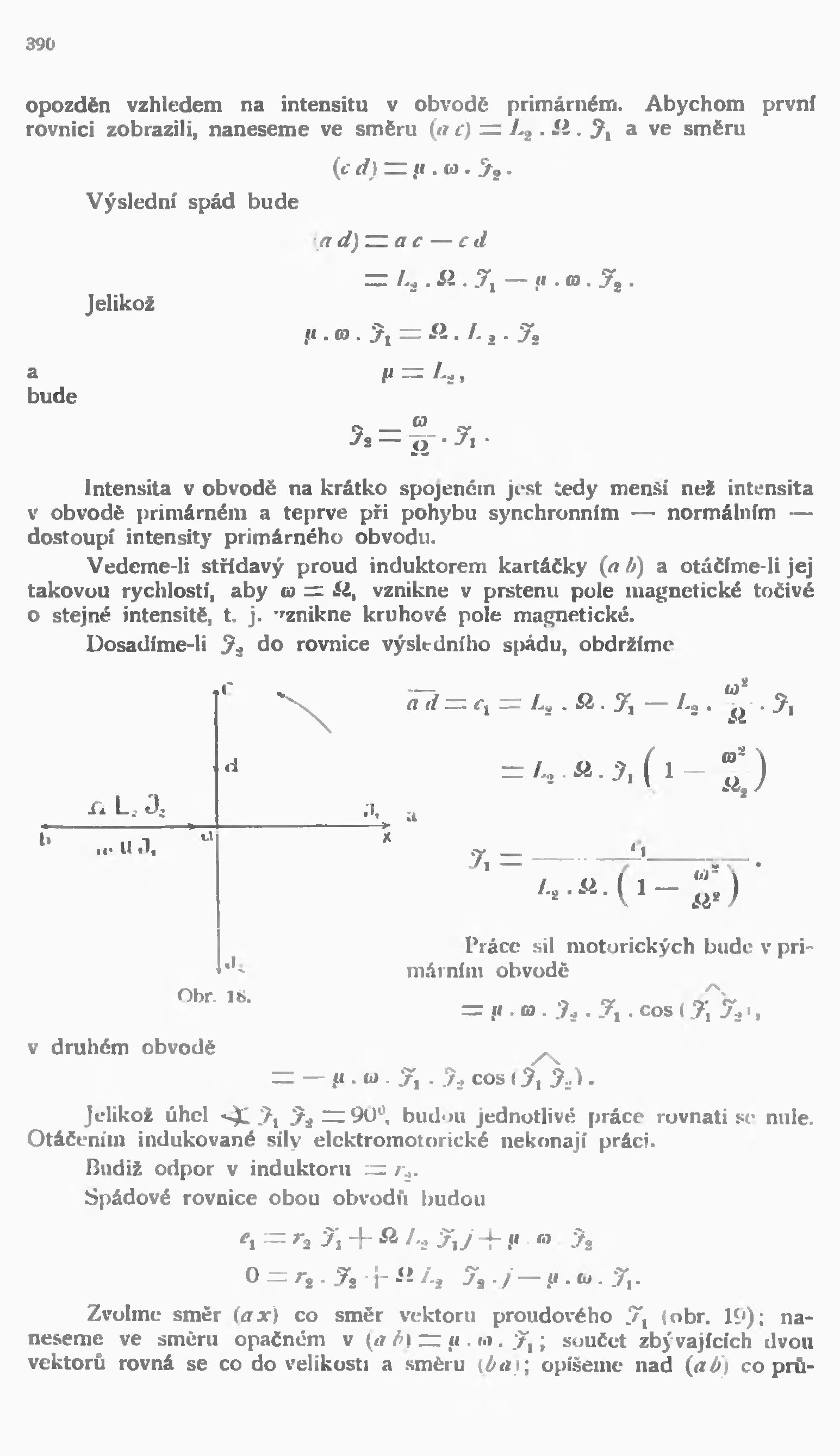
Stránka
  Dokument předchozí stránky Dokument další stránky  
Dokument první stránky Dokument o 5 stránek zpět /112  Dokument o 5 stránek vpřed Dokument poslední stránky  
 
PDF
rozsah stran: (max. 20)
-
 
hledat na aktuální stránce
Pokročilé vyhledávání

©2003-2010
Developed under GNU GPL by Qbizm, NKČR and KNAV

* Datum vydání ročníku: 1905 Číslo ročníku: 14
* Datum vydání výtisku: 6.1905 Číslo výtisku: 6
* Číslo stránky: 390

* URI:
http://kramerius.nkp.cz/kramerius/handle/ABA001/32870068



Soubor ke stažení ve formátu djvu