System Kramerius
Typy dokumentů
Abeceda
Výběr titulu
Titul
Ročník
Stránka
  Dokument předchozí stránky Dokument další stránky  
Dokument první stránky Dokument o 5 stránek zpět /416  Dokument o 5 stránek vpřed Dokument poslední stránky  
 
PDF
rozsah stran: (max. 20)
-
 
hledat na aktuální stránce
Pokročilé vyhledávání

©2003-2010
Developed under GNU GPL by Qbizm, NKČR and KNAV

* Datum vydání ročníku: 1879 Číslo ročníku: 3
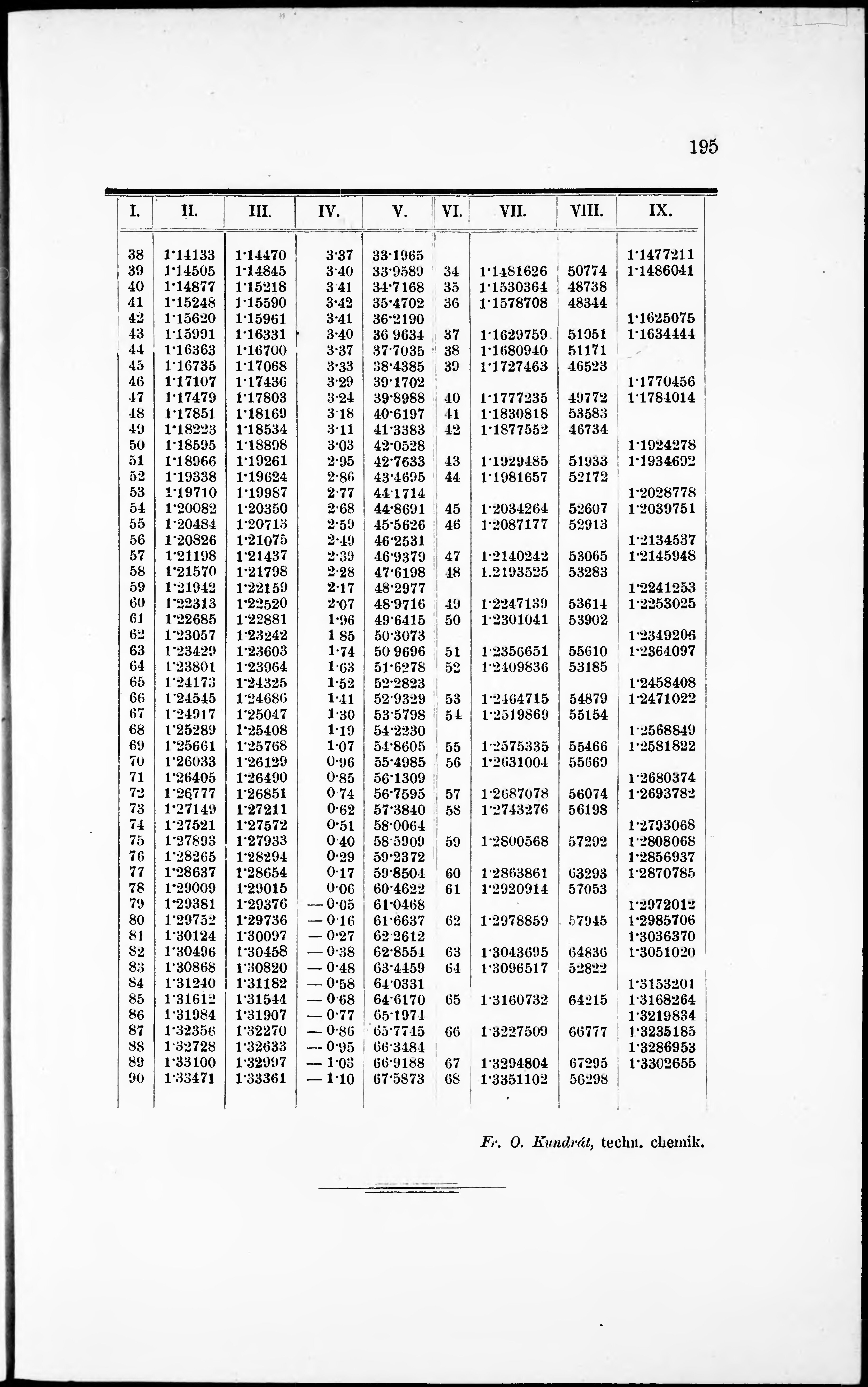
* Číslo stránky: 195 Typ stránky: tabulka

* URI:
http://kramerius.nkp.cz/kramerius/handle/ABA001/17929090



Soubor ke stažení ve formátu djvu